TECH SOLUTION AN TÍN
Bảng tra tổn thất áp suất đường ống khí nén
Bảng tra Δp tổn thất áp suất đường ống và phụ kiện cút, tê, van vòi.v.v… Đồng thời cũng là bảng chọn kích thước ống phù hợp với lưu lượng máy nén khí. Với công thức tính toán mang tính chất thực nghiệm của một số hãng máy nén khí đã tính toán sẵn điều này vừa tiết kiệm thời gian có độ chính xác tường đối. Bảng đã tính toán sẵn điều này giúp tiết kiệm thời gian có độ chính xác phù hợp để áp dụng vào thiết kế hệ thống máy nén khí.
Bảng tra tổn thất áp suất đường ống theo đường kính ống
Bảng tra lập trên 100m dài đường ống và áp suất khí 0.7Mpa ~ 7Kg/cm2. Với A= kích thước ống theo DN, B kích thước ống theo Inc, mm đường ống kính theo mm. Chi tiết xem bài tiêu chuẩn kích thước đường ống.
Bảng tra sụt giảm áp suất Δp trên phụ kiện đường ống
Lưu ý: Đây là bảng tra nhanh mang tính chất thực nghiệm độ phù hợp và chính xác mang tính tương đối. Được hãng máy nén khí tổng kết, chúng không hẳn đầy đủ cho toàn bộ phụ kiện đường ống truyền tải.
Cách chọn kích thước ống theo lưu lượng máy nén khí
Ví dụ thực tế về cách chọn kích thước ống cho một nhà máy sử dụng:
Gồm có:
- 3 máy nén khí 37kW có lưu lượng khí nén là 6.1m3/phút/7bar
- 01 máy nén khí 55kW có lưu lượng khí nén là 9.1m3/phút/7bar
Vậy, tổng lưu lượng khí nén sẽ là: (6.1 x 3) + 9.1 = 36.5 m3/phút
Áp dụng vào bảng tra cứu tổn thất áp suất cùng bảng tra cứu kích thước ống khí nén cần phải chọn mức tối thiểu mà đường ống đáp ứng được lưu lượng 35 m3/phút tương ứng với ống khí nén DN90 tức là 31/2 inch (Kích thước đường ống 93.2mm).
Tổn thất áp suất là gì ?
Là mức độ hao hụt áp suất của môi chất có áp suất cao khi di chuyển một quãng đường bên trong đường ống.
Tổn thất áp suất về cơ bản đề cập đến sự mất áp suất tĩnh (hoặc mất áp suất tổng). Áp suất động và áp suất thủy tĩnh không bị ảnh hưởng bởi tổn thất năng lượng, vì đây chỉ là tác động của dòng chảy chứ không phải là nguyên nhân. Áp suất thủy tĩnh và áp suất động được xác định trước bởi hình dạng của đường ống. Các tổn thất áp suất khác xảy ra trong các bộ phận riêng lẻ, ví dụ như van, cút hoặc thiết bị đo.
Khi chất lỏng, chất khí chảy qua đường ống, tổn thất năng lượng chắc chắn xảy ra. Một mặt, điều này là do ma sát xảy ra giữa thành ống và chất lỏng (ma sát thành). Mặt khác, tác dụng ma sát cũng xảy ra bên trong chất lỏng do độ nhớt của chất lỏng (nội ma sát). Chất lỏng chảy càng nhanh thì hiệu ứng nội ma sát càng lớn (xem thêm bài về dòng chảy Poiseuille).
Tổn thất dòng chảy tiếp theo là do các dòng chảy hỗn loạn gây ra, đặc biệt là tại các phụ kiện, chúng là vật cản đối với dòng chảy. Điều này được quan tấm trong ngành khí nén.
Trong bài báo Hiệu ứng Venturi , người ta đã chỉ ra một cách chi tiết rằng áp suất cũng có thể được hiểu là năng lượng đặc trưng cho thể tích, như khí nén là dạng năng lượng được tích trữ dưới dạng thế năng. Áp suất cho biết lượng năng lượng trên một đơn vị thể tích được chứa trong môi chất. Điều này có nghĩa áp suất có là năng lượng, đồng nghĩa mất năng lượng chắc chắn dẫn tới sụt giảm áp suất. Do đó, các hiệu ứng ma sát và dòng chảy được mô tả ở trên đi kèm với sự mất áp suất tương ứng (giảm áp suất).
Công thức tính toán tổn thất chính xác
Công thức tính tổn thật áp suất đường ống & phụ kiện
Việc tính toán chính xác những tổn thất về áp suất hay những thông số khác cho đường ống truyền tải phân phối khí nén trong nhà máy khá phức tạp. Bạn nên sử dụng bảng tra sẵn phía trên để thiết kế nhanh thuận tiện hơn.
Đường ống truyền tải khí nén được ghép nối từ đường ống thẳng, co, cút, T, van và nhiều phụ kiện khác mỗi phụ kiện có kết cấu cơ khí khác nhau sinh ra tổn thất hay nói cách khác cản trở dòng khí khác nhau. Tính toán tổn thất hệ thống tức ta phải tính riêng từng phần sau đó tổng hợp lại thành tổn thất chung. Về cơ bản chúng ta tính toán tổn thất với 03 thành phần như sau:
- Tổn thất về áp suất ở đường ống dẫn thẳng ∆pR
- Tổn thất khi tiết diện thay đổi ∆pE
- Tổn thất áp suất ở các van ∆pV
1. Tính toán tổn thất ở các ống dẫn thẳng
Công thức tính:

.l: là chiều dài ống dẫn
.pR=1,2 khối lượng riêng của không khí ở trạng thái tiêu chuẩn
ρ= khối lượng riêng của không khí
.v : vận tốc của dòng chảy
. d: đường kính ống dẫn
λ : hệ số ma sát của ống
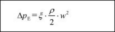
2. Tính áp suất bị tổn thất khi thay đổi tiết diện

Ở hệ thống ống dẫn ngoài những ống dẫn thẳng còn có các ống dẫn có tiết diện có thể thay đổi , dòng khí được chuyển đi trong ống cũng có thể bị hao tổn về áp suất khi di chuyển trong những đường ống này.
Công thức tính:
3. Tổn thất áp suất phụ kiện đường ống (tương đối)

Sự tổn thất về áp suất xảy ra tại một số vị trí: van đảo chiều, van áp suất, van tiết lưu…được tính theo công thức:
4. Tổn thấp áp suất trên toàn đường ống dẫn thẳng
Giá trị tổn thất của áp suất máy nén khí được tính thông qua chiều dài của ống dẫn theo công thức:

Trong đó l’ là chiều dài ống dẫn tương đương
Bạn muốn nghiên cứu sâu hơn nữa về chủ đề tổn thất áp suất khí và chất lỏng vui lòng tham khảo báo khoa học chuyên đề tec-science (Tiếng Anh)
Liên hệ ngay để được tư vấn nhanh chóng và nhận báo giá ưu đãi nhất!
CÔNG TY TNHH KHÍ NÉN Á CHÂU
- Địa chỉ: LK 02-21 KĐT Nguyễn Lương Bằng, Việt Hòa, TP Hải Phòng
- Số điện thoại: 0964 744 392
- Email: khinenachau@gmail.com
- Trang web: https://khinenachau.com/
Đánh giá:
- 5/5
An Tín
Bình luận (0 Bình luận)